28 MHz Beacons
Reliability and Strength of North American Beacons
Reported in the UK during February 2002

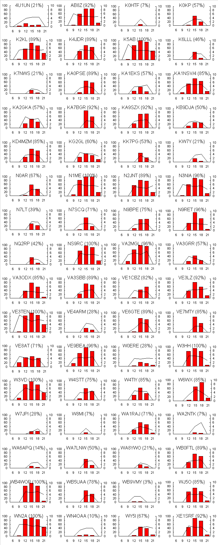
The following graphs depict reliability and signal strength of all North American beacons heard by members of the Six and Ten Reporting Club in the UK during November 2001. The legend below provides an explanation of these graphs. (Beacon frequencies and other details are available at G3USF's Worldwide List of HF Beacons.)

All these beacons were heard via normal F2 propagation.

Beacon Graphs

Beacon graphs legend: Graph bars (in red; left side Y-axis): beacon reliability as the percentage of days a beacon was heard by any (UK) observer within each time band. Graph lines (right side Y-axis): signal strength calculated as the average of the daily maximum signal reported by any observer in each time band. Time band codes (X-axis): 6=0600-0900, 9=0900-1200, 12=1200-1500, etc. Times in UT (GMT). Titles are beacon callsigns followed by the daily reliability figures, the percentage of days for the month on which the beacon was reported

Click here for G0AEV;s Beacons index page.